728x90
알게된 것
- 다익스트라 알고리즘: 하나의 정점에서 다른 모든 정점으로의 최단 거리 구하기
- 플로이드 와샬 알고리즘: 모든 정점에서 모든 정점으로의 최단 경로 구하기, 거쳐가는 정점을 기준으로 최단 거리를 구한다.
- 이번 문제에서는 '플로이드 와샬 알고리즘'을 이용한다.
- BFS로도 풀 수 있다고 한다.
- 맨처음에는 BFS도 아닌, 플로이드도 아닌, 단순하게 각각의 거리를 비교하는 방식으로 풀었는데, 도저히 아닌 것 같아서 풀이를 검색해서 해결했다! 너무 모르겠으면 검색하자!
- 모두 탐색을 한다는 생각으로 풀자. 알고리즘적인 생각이 아직 안잡혀있어서 각각의 정점만 비교하는 방식으로 처음에 생각한듯 하다.
결과
- 메모리: 124308 KB
- 시간: 312 ms
풀이과정
- 집(0) 편(1) 편(2) 페(3)
- 집(0)
- 편(1)
- 편(2)
- 페(3)
- 이렇게 배열을 만든 후, 각각의 거리를 계산해서 1000 이하면 간선이 이어진걸로 한다.
- 플로이드 와샬 알고리즘으로 거쳐가는 정점을 기준으로 최단 거리를 구한다.
- 0 < 배열[집][페] < max 면 갈 수 있다는 뜻이므로 happy를 출력한다.
제출 코드
max = 1000
t = int(input()) # 1 <= t <= 50
for _ in range(t):
n = int(input()) # 0 <= n <= 100
homeX, homeY = map(int, input().split())
stores = []
for _ in range(n):
storeX, storeY = map(int, input().split())
stores.append((storeX, storeY))
festivalX, festivalY = map(int, input().split())
graph = [[max] * (n + 2) for _ in range(n + 2)]
arr = [(homeX, homeY)]
arr.extend(stores)
arr.append((festivalX, festivalY))
# 정점 간 이동 가능 표시
for i in range(n + 2):
for j in range(n + 2):
if i == j:
graph[i][j] = 0
continue
x1, y1 = arr[i]
x2, y2 = arr[j]
dist = abs(x1 - x2) + abs(y1 - y2)
if dist <= 1000:
graph[i][j] = 1
for k in range(n + 2):
for i in range(n + 2):
for j in range(n + 2):
if graph[i][k] + graph[k][j] < graph[i][j]:
graph[i][j] = graph[i][k] + graph[k][j]
if 0 < graph[0][n +1] < max:
print('happy')
else:
print('sad')
테스트용 코드
max = 1000
# n = 2
# homeX, homeY = 0, 0
# stores = [(1000, 0), (1000, 1000)]
# festivalX, festivalY = 2000, 1000
n = 2
homeX, homeY = 0, 0
stores = [(1000, 0), (2000, 1000)]
festivalX, festivalY = 2000, 2000
graph = [[max] * (n + 2) for _ in range(n + 2)]
arr = [(homeX, homeY)]
arr.extend(stores)
arr.append((festivalX, festivalY))
# 정점 간 이동 가능 표시
for i in range(n + 2):
for j in range(n + 2):
if i == j:
graph[i][j] = 0
continue
x1, y1 = arr[i]
x2, y2 = arr[j]
dist = abs(x1 - x2) + abs(y1 - y2)
if dist <= 1000:
graph[i][j] = 1
for k in range(n + 2):
for i in range(n + 2):
for j in range(n + 2):
if graph[i][k] + graph[k][j] < graph[i][j]:
graph[i][j] = graph[i][k] + graph[k][j]
print(graph)
if 0 < graph[0][n +1] < max:
print('happy')
else:
print('sad')
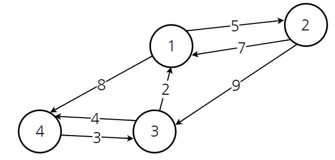
참고: 플로이드 와샬 알고리즘

n = 4
max = 1000
graph = [
[0, 5, max, 8],
[7, 0, 9, max],
[2, max, 0, 4],
[max, max, 3, 0]
]
print(graph)
for k in range(n):
for i in range(n):
for j in range(n):
if graph[i][k] + graph[k][j] < graph[i][j]:
graph[i][j] = graph[i][k] + graph[k][j]
print(graph)
'Study > Algorithm' 카테고리의 다른 글
| [백준 / Python] 1753 최단경로 (다익스트라) (2) | 2020.12.06 |
|---|---|
| [백준 / Python] 1613 역사 (플로이드-와샬 알고리즘) (0) | 2020.12.04 |
| [백준 / Python] 2458 키 순서 (플로이드-와샬 알고리즘) (0) | 2020.12.04 |
| [백준 / Python] 11404 - 플로이드 (0) | 2020.12.03 |
| [백준 / Python] 14503 - 로봇 청소기 (0) | 2020.11.25 |